COURSE DESCRIPTION
The Standardized College Admissions Test in the United States.
For this section, solve each problem and decide which is the best of the choices given. Fill in the corresponding oval on the answer sheet. You may use any available space for scratch work. (CALCULATOR NOT PERMITTED)
Quiz-summary
0 of 10 questions completed
Questions:
- 1
- 2
- 3
- 4
- 5
- 6
- 7
- 8
- 9
- 10
Information

Click “Start Quiz” to begin…
You have already completed the quiz before. Hence you can not start it again.
Quiz is loading...
You must sign in or sign up to start the quiz.
You have to finish following quiz, to start this quiz:
Results
0 of 10 questions answered correctly
Your time:
Time has elapsed
You have reached 0 of 0 points, (0)
| Average score |
|
| Your score |
|
Categories
- Not categorized 0%
- 1
- 2
- 3
- 4
- 5
- 6
- 7
- 8
- 9
- 10
- Answered
- Review
-
Question 1 of 10
1. Question
Correct
Incorrect

-
Question 2 of 10
2. Question

Which of the following expressions is equivalent to the expression shown above?
Correct
Incorrect

-
Question 3 of 10
3. Question

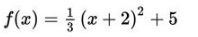
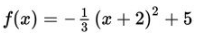
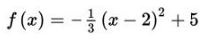
Which of the following represents the function shown?
Correct
Incorrect

-
Question 4 of 10
4. Question

If line L shown above is reflected over the x-axis, what is the slope of the new line?
Correct
Incorrect

-
Question 5 of 10
5. Question
The mean number of students per classroom, y, at Central High School can be estimated using the equation
where x represents the number of years since 2004 and
Which of the following statements is the best interpretation of the number 0.8636 in the context of this problem?Correct
Incorrect
Choice D is correct. When an equation is written in the form
the coefficient of the x-term (in this case 0.8636) is the slope. The slope of a linear equation gives the amount that the mean number of students per classroom (represented by y) changes per year (represented by x). -
Question 6 of 10
6. Question
If
where
and
what is
in terms of
Correct
Incorrect
Choice A is correct. Multiplying both sides of the equation by the denominators of the rational expressions in the equation gives
The student should then divide both sides by 2 to isolate the
variable, yielding the equation 
-
Question 7 of 10
7. Question
If
and
what is
in terms of x?Correct
Incorrect
Choice C is correct. Substituting the expressions equivalent to y and z into
results in the expression
The student must apply the distributive property to multiply
by 2 and then combine the like terms in the expression. -
Question 8 of 10
8. Question
Which of the following is equal to

(Note:
)Correct
Incorrect
Choice D is correct. Applying the distributive property to multiply the binomials yields the expression
The note in the stem of the question reminds students that
therefore
Substituting this value into the expression gives the student
and combining like terms results in 
-
Question 9 of 10
9. Question

In the equation above, what is the value of k?
Correct
Incorrect
Choice B is correct. Simplifying the numerators yields
and cross-multiplication gives
Solving for k yields 
-
Question 10 of 10
10. Question

In the system of linear equations above,
is a constant. If the system has no solution, what is the value of
Correct
Incorrect
Choice C is correct. If the system of equations has no solution, the graphs of the equations in the xy-plane are parallel lines. To be parallel, the lines must have the same slope, and this will be true if the expression
is a multiple of the expression
Since
the expression
would have to be 12 times the expression
This means
so
The resulting system is
and
which is equivalent to
and
which has no solution


There are no reviews yet.